Lecture 8 - The Numbers and Sizes of Offspring

  	Clutch size varies enormously among species. Clearly clutch size
  is one component in tradeoffs among life history variables. However,
  to properly understand how clutch size can be adjusted to balance with
  other components of the life history, we first need to understand how
  it, as a single variable, is regulated. There are many interesting
  aspects to that question: There are obvious possible conflicts between
  parent and offspring about number and size. Who controls the
  reproductive output? Do parents usually initiate more offspring than
  they can finish producing, then selectively abort some? It appears
  that this happens in plants. Does it also happen in animals? How is
  size balanced against number? From the parental perspective the
  optimum is to produce as many as can be provisioned well enough to
  have a good chance to survive to reproduce. However, there is likely
  competition among offspring. From the offspring perspective a much
  smaller number might be preferred. After we examine aspects of clutch
  size alone, we will examine balances between size and number.
  
  Evidence for a genetic component in clutch size
      There is wide evidence that variation in clutch sizes is an
  evolved genetic adaptation, as opposed to a temporary plastic response
  to environmental conditions. Much of the data which provides the
  evidence comes from studies of birds. We will explore a small number
  of case studies. Before moving to specific studies, you should get a
  feel for the variability in clutch sizes among birds. There are at
  least 4 bird families whose members characteristically lay clutches of
  a single egg. All are oceanic (e.g. the albatross, frigate bird and
  penguins), and all depend on the same food resource (fish from the
  sea). A few oddballs within their families also lay single egg
  clutches (e.g. auks, the California condor).
  Many terrestrial birds lay clutches of 2 eggs. This is the case with
  most condors, hummingbirds, pidgeons, and most tropical passerines
  (perching birds). Other species mostly have only moderately larger
  clutches than this; on average clutch sizes are relatively small.
  However, the opposite extreme is also observed. The partridge lays
  clutches of up to 17 eggs, and the blue tit, though it is one of the
  smallest palearctic (old world arctic) birds, produces clutches of up
  to 19 eggs.
      Most species also have a determinate clutch size. That means that
  the clutch size is fixed by environmental and genetic conditions, but
  once that many eggs has been layed, laying ceases. No further eggs
  will be layed to replace those lost to egg predators or fallen out of
  the nest. In other species, with so-called indeterminate clutch size,
  sensory stimuli determine for the female whether she has filled out
  her clutch. If an egg is removed from the nest, the female lays
  another to replace it. If you had eggs for breakfast (perhaps an egg
  Mcmuffin), a little reflection will indicate that the domestic chicken
  has an indeterminate clutch size. Each morning the henkeeper removes
  an egg from the nest. The poor hens, finding their nests empty, lay
  another egg each day to fill out the clutch. However, the main thread
  of this story deals with evidence that clutch size is genetically
  determined and evolutionarily optimized.
      First let's consider closely related species with differing
  ecology, and see whether there is a link between their ecology and
  their clutch sizes. MacArthur studied, among many aspects of warbler
  biology, the clutch sizes of species whch feed opportunistically upon
  spruce budworm outbreaks, and those which feed more broadly on
  insects, but do not take particular advantage of outbreaks. Both kinds
  of species are of similar size. The set of warblers feed in different
  parts of the foliage of coniferous trees, and those with broad niches
  coexist through that niche separation. Among the opportunists are the
  bay-breasted and Cape May warblers. During years when no outbreak of
  spruce budworms occurs, these species lay clutches of from 4-6 eggs,
  with the peak and average of the distribution of clutch sizes 5 eggs.
  Between outbreak years their populations tend to decline in size.
  During outbreak years both species produce clutches that are at least
  one egg larger on average, i.e. with peak and average of about 6 eggs.
  This is the effect of feeding opportunistically on the outbreak. It is
  also the means to coexist. During outbreaks the populations of these
  opportunistic species increase rapidly, due to the temporary advantage
  they have in the competition with other warblers through their ability
  to take advantage of the outbreak.
      The other species are considered 'equilibrium' species, or "more K-
  selected", or other similar fuzzy buzz words. Species of this type,
  for example the black-throated green warbler, are in the same family
  (Parulidae), and the same genus (Dendroica), but, in common with most
  other warblers, typically lay smaller clutches of 4 (mostly) to 5
  eggs. Their feeding niches include a broad variety of insects, so that
  there is little year-to-year variation in total food resource and in
  their clutch sizes. The difference in clutch size, and in variability
  in clutch size (even though we recognize it is a response to food
  resources expressed in the clutch) are indications of evolved genetic
  differences in the reproductive biology of closely related warblers
  grouped here as opportunistic versus equilibrium species.
  
  Lack's studies of starlings - 'the Lack clutch'
      Lack's studies are particularly important in establishing that
  clutch sizes have been selectively optimized in European starlings.
  Lack believed that birds should produce a clutch whose size is
  determined by the parent's abilities to feed and fledge young. The
  number and sizes of those young should, taken together, maximize their
  contribution to the next generation. In the language of evolutionary
  biology, selection should maximize the fitness of the species. Lack
  believed particularly that food availability and the requirements for
  feeding altricial young are the principal determinants of the optimum
  clutch size. What happens behaviourally is that as brood size
  increases, parental effort to feed the young increases, but beyond
  some point (i.e. a brood size), the increment in effort cannot match
  the increment in brood size. The limitation may be the abundance of
  food available, or the time required to find and capture sufficient
  food to support the brood. As a result, each nestling in a large brood
  is more poorly provisioned (gets less food) than its conspecific in a
  smaller brood. Each nestling which survives (and size may make a
  difference in the nest, but it wasn't important for the starlings), is
  therefore fledged at a smaller size when from a larger brood. Lack's
  data demonstrates that for the starlings. While these differences
  weren't important in nestling survivorship, there was significant
  impact on survivorship during the period immediately following
  fledging, when the birds are forced to survive independently.
    
           Clutch Size        Nestling Weight (gms)
           -----------        ---------------------
                 2                 88.0
                 5                 77.6
                 7                 71.4
    
  The period immediately following fledging is probably a period of
  intense stress, since the bird is thrust (sometimes almost literally
  booted from the nest by its parent) into the world from which it must
  gather sufficient food and avoid predation with no previous
  experience. The success (or lack of it) of birds fledged from broods
  of different sizes can only be inferred from recovery of banded birds
  labelled for the size of the brood in which they grew. Lack mist
  netted to capture survivors 3 months after fledging, and separately
  attempted to find the bodies of those who died during that period. To
  recover reasonable numbers, huge numbers of nestlings had to be
  banded. Survivors were clearly successful in the post-fledging period.
  Yet by keeping the time interval between fledging and recapture fairly
  short dispersion and winter mortality could be minimized and recovery
  rates maximized. We can look at what sizes of broods give the greatest
  proportion of fledglings recaptured. That might seem to optimize
  fitness. However, if larger numbers were recovered from larger broods,
  and brood size is heritable, then larger brood size might come to
  predominate over time. Luckily, that doesn't happen; greatest %
  recovery and greatest productivity occur in the same clutch size, and
  it is also the clutch size most frequently observed in natural
  populations.
  
  Brood Size    # Broods      % recovery         relative productivity
  
      1             65           ----                    ----
      2            164            1.8                     3.7
      3            426            2.0	                  6.1
      4            989            2.1                     8.3
      5           1235            2.1                    10.4
      6            526            1.7                    10.1
      7             93            1.5                    10.2
      8             15            0.8                    ----
  
  Clutch sizes of 4 or 5 eggs show equal proportional recovery, but
  because 5 egg clutches are larger, on average a larger fraction of the
  surviving offspring arose from the larger clutches. Relative
  productivity is just the product of % recovery and egg number. Lack
  combined data from 7 and 8 egg clutches due to the small number of
  birds recaptured. In combination, weighting by the number of clutches
  of each size banded, recovery was about 1.4%. The 10.2 relative
  productivity comes as the product of the weighted mean clutch size
  (93x7 + 15x8/108 = 7.14) and recovery. I get 10.0 for that product,
  which probably results from rounding that went into published tables.
  Nevertheless, recovery from larger clutches amounts to about .1
  bird/brood, so that among those clutches increased size is compensated
  by mortality during the immediate post-fledging period. Therefore,
  nothing is gained in fitness, and there is an obvious possibility of
  mortality cost to the parent. Note that, as previously indicated, not
  only are 5 egg clutches the most productive, they are also the most
  common size.
      To be thorough, Lack also collected dead bodies two months after
  fledging. The rate of recovery (the number of bodies) increased with
  clutch size. I won't bother with the numbers, but the increase in
  corpses was proportionately larger than the increase in clutch size
  above 5 eggs, indicating that mortality increases faster than any gain
  accruing to broods of more than 5 eggs.
      Finally, note that starlings may produce two broods within a
  single breeding season. When they do, the same kinds of comparisons
  among brood sizes obtain, but the whole pattern is moved down 1 egg.
  Maximum percent recovery, productivity, and frequency in the
  population of broods occurs at size 4. This, of course, introduces a
  key consideration for the development of life history theory. Lack's
  studies showed an optimization for a single clutch, without regard for
  parental survival or residual reproductive value. It is a weakness of
  most experimental and natural observations of clutch sizes and their
  regulation.
      There is also a second question: Is there just one optimum brood
  size? Is there any systematic way it varies with environmental
  conditions? Is it genetically fixed and invariant? Thus far all this
  suggests optimization of brood size at some single size which
  maximizes fitness. Why, then, do other brood sizes persist in a
  population? Althought the mathematics is well beyond the scope of this
  course, there are theoretical, as well as practical evolutionary
  reasons for expecting clutch size variability to persist. The basic
  explanation is just environmental variability. If, on average, the
  environment provides resources which make the optimum clutch size 5
  eggs, is that the case every breeding season? Obviously not. Yet is
  seems that clutch size is largely genetically programmed. To maintain
  the potential for optimized breeding in good, bad and average years
  genetic variation for brood size must be maintained in the population.
  Mountford (1973) proved that this logical result is also predicted by
  theory. Rather than attempting to find the array of genotypes which
  maximized population growth, his approach was the converse, minimizing
  the probability of extinction when the environment varied. He noted
  that most bird species show variation in clutch size, and many
  maintain a resorvoir of non-breeding, but sexually mature animals. He
  set up a 'theoretical bird' which was an annual species (obviously
  unrealistic). The food available was assumed to be distributed evenly
  among all offspring. There was a sigmoidal relationship between food
  consumption and survivorship. What varied was the fixed amount of food
  available. There were 3 kinds of years: good years with abundant food
  (set at 21.5 units), average years (with 17.5 units), and poor years
  (with 13.5 units). Each kind of year occurred with equal frequency,
  but in random order. With those parameters, simulations predict
  optimum survival of a population with a mix of 88% producing 2 egg
  clutches and 12% producing 3 egg clutches. When environmental
  variation (in the form of two habitats of differing quality) is
  incorporated in each year, then minimum extinction occurs with 3 kinds
  of birds, the third kind being a non-breeding segment. The occurrence
  of a non-breeding reserve is our first exposure to a reproductive
  strategy called bet-hedging (Stearns 1976), which will again be
  considered in treatment of life history strategies.
      Since variation in clutch sizes is apparent, the next step is to
  try to discern pattern in the clutch sizes of species closely related
  genetically and/or ecologically.
  
  Geographical Variation in Clutch Size and its Causes
      It has been widely observed that clutch sizes vary across
  geographic gradients, both within and among species. That variation is
  not random. In both Europe and North America, and generally with
  increasing latitude, clutch sizes increase. Within continents clutch
  sizes decrease as one moves from mid-continental areas to oceanic
  areas at the same latitude. Many factors have been proposed to explain
  these geographic patterns. Lack's studies, for example, were not
  limited to starlings, or to a single area. His detailed data on clutch
  sizes led him to suggest that differences in brood size were due to
  differences in feeding behaviour. The female of most species must
  leave the nest to forage for her offspring. That is a time consuming
  process. Lack suggested that food availability is the factor limiting
  clutch sizes in zones from the tropics to the poles and from mid-
  continental to oceanic areas (i.e. food is generally the important
  limiting factor). If we compare temperate to tropic latitudes,
  however, reproduction in the temperate zone is usually closely
  associated in time with the summer solstice (the longest day of the
  year). That association is clear for locally common passerines, as
  well as a variety of other bird species. Why is the period surrounding
  the summer solstice special? Day length is the difference. Tropical
  day length is fairly constant, at around 12 hours of light per day. In
  the temperate, days are longer during the summer period, reaching 18-
  20 hours. Day length at the summer solstice increases with latitude,
  reaching 24 hours at the arctic circle. Thus, species at higher
  latitudes have a longer day during which the female can forage, and
  she can obtain a larger total amount of food, if the resource is
  sufficiently abundant. Is food abundant? The longer days mean that
  plant growth rates are at their peak near the solstice, and plant
  growth (and annual cycles) will generally be compressed into the
  summer period. This compression and flowering is more compressed as
  latitude increases. Therefore, so is insect activity, which is
  associated with their plant food resource. All this means a female can
  raise a larger clutch at higher latitude, all else being equal. Lack
  proposed, therefore, that we should consider the ultimate limiting
  factor to be time, and the time available for foraging during the
  reproductive season increases with increasing latitude.
      Other related explanations have been proposed. Seel (Ibis 110:270)
  studied house sparrows, and found that a maximum proportion of 3 egg
  clutches survived, but that the greatest number of survivors per brood
  came from clutches of 4 eggs. In this species there is a particular
  reason for decreasing proportional survivorship with increasing clutch
  size. Foraging behaviour reduces the success of broods larger than 3
  eggs severly. As clutch size increases toward 3 eggs, females increase
  the number of foraging flights and feeding visits proportionally.
  There are no further increases when clutch size increases above 3.
  Thus, 4 egg clutches are provisioned with no more food than those with
  3 eggs. Why should there be this sharp cutoff? Seel's explanation (a
  hypothesis) is based in competition. Birds who have nested in areas
  productive enough to support a 4 egg clutch can't afford to advertise
  that to others in the colony by making extra foraging flights.
  Otherwise others from the colony would construct nests to take
  advantage of the resource 'hot spot', and it would no longer support a
  large clutch.
      In other species there are similar limits, but set by predation
  risk rather than intraspecific competition. Birds who make large
  numbers of foraging flights to feed large clutches expose both
  themselves and their clutches to increased risk of predation. Both
  they and the positions of their nests are too obviously advertised. In
  effect, we've now mentioned three reasons which might explain
  variation in clutch size optima: food availability, competition
  (intraspecific in the example, but clearly interspecific competition,
  by reducing resource availability, could also limit clutch size), and
  predation risk. Since all may occur separately and in combination, the
  logical approach is to develop a model for clutch size which
  incorporates all 3 factors.
  
  Cody's Model for Clutch Size
      Cody developed a model for geographic variation in clutch size
  which did incorporate all 3 factors. The model is summarized in a 3-
  dimensional graphical synthesis. One of the axes of this graph
  indicates clutch size. A second axis represents the energy expenditure
  to avoid predation or reduce the risk. The third axis represents
  tolerance to competition, or the energy expenditure which effects the
  efficiency with which resources are used. Any realized strategy for
  reproduction must combine all three factors, and in any given
  environment some combination will maximize fitness. Each species has
  some total energy budget, based upon environmental conditions, and
  must apportion the energy available in excess of that required for
  maintenance among these three functions. That energy can be
  represented as a spherical surface (or really the 1/8th of a sphere
  that is positive along all 3 axes). If we assume energy isn't 'banked'
  (which is clearly wrong for many or most iteroparous species, but we
  can consider all energy neither stored not apportioned to maintenance
  activities), then the entire excess is spent on some combination of
  the three functions, i.e. real strategies, measured in energy
  expenditure, lie on the surface of this sphere. A species, for
  example, could produce no eggs, but spend all energy on avoidance of
  predation and maximizing efficiency in resource gathering. Another
  could produce a suicidally large clutch size, because it spent nothing
  on avoiding being eaten, or on competing for food resources. Real
  strategies, of course, lie at intermediate points along the surface.
  Considered only this far, the model is fairly empty. However, we can
  hypothesize and evaluate strategies appropriate for differing
  environmental conditions, and compare the predictions to observed
  results. Consider first latitudinal geographic variation:
  
  The tropics: Tropical climatic conditions and diversity are argued to
  confer stability on tropical communities and environments. Cody
  suggests that this should lead to K-selected strategies being observed
  in bird species, i.e. reduction in clutch size to enhance competitive
  ability in diverse communities. It is unsatisfactory to simply invoke
  K-stategies. Hutchinson (1978) tried to go further. Logically a more
  diverse, tropical community should include a greater number of
  competitor species, as well as a greater diversity of predators and a
  shorter foraging day. Therefore, successful strategies must include a
  larger committment to competitive efficiency and predator avoidance
  out of a total budget that is probably no larger (and most likely
  smaller per unit time) than that available in temperate zones during
  the seasonal peak of productivity in the breeding season. Smaller
  clutches follow from that.
  
  The temperate zone: In the temperate zone climate and environment are
  more variable. As a result diversity is reduced, and with it (at least
  on average) the number of competitor and predator species with which
  our test organism must interact. In addition the foraging day is
  longer, at least during the breeding season. A smaller portion of what
  is likely a larger budget must be spent on interactions. There is a
  larger excess left for egg production, and larger clutches are the
  logical result.
  
      The geographical trend this predicts is observed across a wide
  diversity of bird taxa. The plots of the figure are drawn from Cody's
  paper. Plot 1 shows Emberiza (finches) of the old world from both
  north and south of the equator. Plot 2 shows Tyrannidae, which are the
  American flycatchers, including both North and South American species.
  Plot 3 is the blackbirds and orioles (Icteridae) from both halves of
  the new world. Plot 4 is for the genus Oxyura, which is a duck species
  distributed worldwide. Plot 5 is the Thraupidae of the northern
  hemisphere in the new world. The family includes warblers, tanagers,
  thrushes, and cardinal grosbeaks. Plot 6 is represents the
  Troglodites, or wrens, of the new world. Not only does clutch size
  increase with latitude in all groups, but the slopes of increase are
  remarkably similar. It certainly looks like we're onto something, a
  broad general pattern of clutch size increase.
      However, there is also variation in clutch size over narrow ranges
  of latitude as one moves from mid-continental areas to oceanic ones. A
  map of clutch sizes in the European robin indicates the scale of this
  pattern. Can this also fit into Cody's model? The accepted argument is
  to base analysis on Cody's notion of the impact of stability.
  Stability, both in climate and in community structure, changes from
  continental to oceanic areas. The oceans act as moderating forces, and
  the increase in climatic 'stability' near their shores may be argued
  to underlie a concommitant increase in community stability. Further
  handwaving can be used to suggest that the climatic and community
  stability beget an increase in diversity, meaning at least a few more
  predators and competitors. Other factors seem   unlikely to change much. 
  Foraging time is certainly constant across longitudes, and productivity 
  is unlikely to be greater (even possibly less per unit time, for the same
  reasons that applied to tropical versus seasonal temperate communities). 
  Therefore, we would expect larger clutches in continental areas, and 
  smaller clutches in oceanic areas. That hypothesized pattern is borne out 
  by observation, e.g. the map of clutch sizes for the robin.
  
  An aside: The notion of 'stability' upon which this whole house of
  cards is built is, however, a bit slippery. What is stability? Does it
  mean that measures remain constant through time, or does it mean that
  the same patterns persist, that we can predict from climate now what
  it's likely to be like in a month? A statistical analysis of climate,
  in which we used information theory to separate 'predictability' into
  components of constancy and repeated pattern (called contingency)
  showed that with latitude, and with continentality, what changed
  mostly was not overall predictability, but the balance between
  constancy and contingency. What we'd better mean here is constancy.
  The range of temperatures, rainfall, etc. that we refer to
  collectively as climate is smaller near the coasts than it is at mid-
  continent.
  
      Finally, there is the interesting case of islands. In general
  islands lack the top trophic levels present on adjacent mainland. The
  reasons are a combination of foraging area requirements for typical
  top predators and minimum population sizes necessary to avoid chance
  extinction. Islands are usually too small to support an eagle or a
  cougar; their home ranges are measured in tens to hundreds of square
  kilometers and they need a larger population of prey than would be
  found on a smaller island. Even if a very small number could be
  supported, say one breeding pair, the chance death of either one is
  likely to have driven a population of top predators extinct, unless
  you happened to survey the island while a recent colonist population
  temporarily persisted. A slightly larger predator population would
  probably fail due to whatever causes the Allee effect (decreased birth
  rate at very low densities). As a generalized result, predation
  pressure is either reduced or absent on islands. However, this
  difference is only likely to be important and clearly apparent where
  predation pressure on adjacent mainland is high, e.g. in the tropics.
  It is also likely that reduced diversity on islands would similarly
  affect the intensity of competition, i.e. the effect would be most
  strongly felt in comparisons of islands and mainland in the tropics.
   Climatic stability, on the other hand, would be increased at any
  latitude, for the same general reasons that oceanic areas have more
  stable climates than continental ones. Therefore:
  
  A. Where predation and competition pressures are low on both islands
  and adjacent lainland, i.e. temperate latitudes, but climatic
  stability is higher on the islands, clutch sizes should be smaller on
  the island than on mainland. There will have been little change in
  biotic factors influencing clutch size, but probably significant
  changes in the abiotic factors. Under these conditions the controlling
  factor is the increased climatic stability, and clutches should be
  smaller. Jared Diamond's extensive data on the birds of New Zealand
  and nearby islands verify this hypothesis. Clutches of mainland bird
  species average 4.5 eggs, while endemic insular subspecies (therefore
  closely related to the mainland species which went into the analysis)
  had an average clutch size of 3.2 eggs.
  
  B. Where predation and competition pressures are high on mainland and
  relaxed at least somewhat on islands, i.e. the tropics, and climatic
  stability is higher, the two factors act in opposition. Relaxation of
  biotic pressures (predation and competition interactions) suggests
  more energy available for reproduction, and larger clutches on
  islands. But climatic stability increases would point to lower
  clutches on those same islands. The data available to test this comes
  from birds in the Caribbean and nearby mainlands. There are no
  significant differences in clutch size in data collected by Ricklefs
  and others.
  
  Ricklef's Model of Seasonal Resource Abundance and Bird Energetics
      There are alternative approaches to explain clutch size variation
  in birds using a different view of 'stability'. A theory which shows a
  strong family resemblence to Lack's and Cody's hypotheses, but a much
  stronger base in energetics, was initially formulated by Ashmole, but
  then improved and clarified by Ricklefs (1980). Ashmole and Ricklefs
  consider the seasonality of resource abundance as the key factor about
  food which influences clutch size. Using their words, we can quantify
  what seasonality means to clutch size:
  
       "clutch size is predicted to vary according to the ratio
       of the highest level of resource to the lowest level, and
       it is independent of the absolute amount."
  
      How can clutch size not be regulated by absolute resource
  abundance? The answer lies in first remembering that reproduction
  uses energy in excess of that required for maintenance, then
  considering the non-breeding season as well as the time of
  reproduction. The adult population will grow logistically until
  limited by food abundance during the non-breeding season (e.g.
  temperate winters for non-migratory birds). The difference between
  the abundance of resources required to maintain surviving adults and
  resource abundance at the time of reproduction is the amount
  available to support a clutch. That difference is independent of
  absolute levels of resource. In the tropics there is little seasonal
  difference in resource abundance; levels are always high, but change
  little. As a result there is a severly limited amount to support
  reproduction, and small clutches. In temperate latitudes there is a
  seasonal peak in productivity at breeding time, and a small amount
  during winter. Therefore, resident populations are low, and a large
  amount of energy is available to support larger clutches. That
  seasonal peak is probably also important in explaining the evolution
  of migration. However, migratory species are not so simply amenable
  to test this hypothesis. The basic form of the hypothesis is
  presented in the figure.
      Ricklefs tested his hypothesis indirectly, by estimating
  available resources using the evapotranspiration rates of plants,
  and assuming productivity to be highly correlated with
  evapotranspiration. He calculated correlations between clutch size
  and 'productivity' during both breeding and non-breeding seasons.
  Interestingly, clutch size fit well with the idea that the ratio of
  resource abundance is the determining factor when considered over
  broad latitudinal range, but when only temperate areas were compared
  the fit was much better with winter production in the temperate than
  with relatively uncorrelated summer data (see figure). The
  implication is that bird populations in temperate latitudes are
  sufficiently harvesting resources that survival is adversely
  affected, and clutch size effects are a consequence of that.

  Further Variations on the Lack and Ricklefs Models

      There are many reasons why clutch sizes might be
  smaller than the predictions of either Lack's optimal
  clutch or Ricklefs' excess energy approaches. It is
  worth noting that observed clutch sizes are generally
  less than (and somtimes approximately equal to) the
  model hypotheses. One obvious reason is that many bird
  species nest more than once during a breeding season.
  Species generally respond in ways very similar to Lack's
  starlings, i.e. later broods are smaller than the first
  one, and, if multiple nestings are an evolved strategy,
  it seems likely that there will be tradeoffs evolved
  between first and later clutchs, resulting in a smaller
  than `optimum' first clutch as well.
      There remains the larger question: Why should clutch
  sizes, in general, deviate from the `optimum' size, i.e.
  the Lack clutch? Stearns identifies a number of possible
  explanations representing views of tradeoffs which are
  not considered in developing the hypothesis of the Lack
  clutch. They include: 1) inter-generational tradeoffs,
  2) tradeoffs between clutch size and parental mortality,
  3) intra-generaional tradeoffs, i.e. between the current
  clutch and parental reproductive traits in the future
  (aspects of the residual reproductive value), 4)
  variation in clutch size related to tracking
  environmental variation, 5) selective abortion or
  selection by the parents in raising the clutch to best
  provision the apparently most fit offspring, 6) conflict
  between parents and offspring over number and size in
  the clutch, and 7) variation in offspring size. There
  could be a more-or-less extended treatment of each of
  these potential sources of explanation for clutch sizes
  less than the Lack optimum, but to restrain length,
  we'll consider only a fraction of the possibilities, and
  leave room to consider what Stearns terms the General
  Life History Problem and/or the Reproductive Effort
  Model with its implications.

  Tradeoff Between Offspring Number and Quality

      In considering an experimental study of offspring
  number and quality in the great tit, Parus major, we can
  consider a number of the sources mentioned above, both
  intra- and inter-generational. The study (Smith et al.
  1989), like many others, including Nur (1984) used
  above, manipulated clutch sizes to look for effects of
  decreasing or increasing the clutch size on parental and
  offspring success. The problem for this, as well as
  other studies, is that it appears parents could raise
  more young than are in their clutches to the age of
  independence (fledging). The answer to why parents raise
  fewer than they could must lie in the tradeoffs of
  offspring number with one or more of the following:
  parental survival, parental reproduction at later
  reproductive episodes, the survival of fledglings (due
  likely to fledling size) to the next breeding season,
  when they should begin reproducing, and/or the clutch
  size of those offspring when they reproduce. There is a
  lot of similarity between this list and the one above,
  but there are also important differences. Mostly the
  differences relate to a transition to a view of parental
  fitness which is inclusive; it is not the survival of
  fledglings which adds to parental fitness, it is their
  reproduction.
      In Smith et al.'s experiment clutches were increased
  and decreased by about 50% or left as controls. Eggs
  were removed and replaced in the control nests, so that
  all eggs were handled approximately equal amounts. As
  examples of the manipulations, the table below lists egg
  numbers and the numbers of nestlings in the 3 treatment
  groups for two of the 5 years of the experiment.


  Year     Category     No. eggs     Number of young    n
                                    before      after
  1983     reduced       10.25       8.55       4.15    20
           control       10.32       8.71       8.71    20
           enlarged       9.95       9.26      13.63    19

  1987     reduced       10.63       8.63       5.50     8
           control       11.00       9.67       9.67     3
           enlarged      11.14       9.71      14.29     7

  Across the entire time of the experiment the number of
  eggs laid did not vary much, not did the hatching
  success. Nestlings were marked with aluminum rings on
  day 13. Nests were followed by regular visits until
  fledging. Then, in September and October, the entire
  study area was mist netted to assess fledgling survival.
  Measures of size were taken both during nestling and
  fledling phases. Size differences may be strongly
  related to `quality'. Fledglings were considered to have
  been recruited into the population if they were captured
  or observed during or after the breeding season
  following their hatching. In that case they make a
  contribution to the inclusive fitness of the parent.
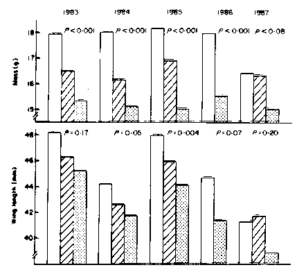
      There were significant effects of offspring number
  on measures of nestling size in each year. Except for
  1987, the relationship appears approximately linear;
  smaller numbers of nestlings make their mean size
  proportionately larger, as is evident in the figure. A
  generally similar relationship holds for the wing lengths
  of nestlings. However, mortality as nestlings,
  while greater when the number of offspring is larger,
  did not bring the number of nestlings to even close to
  equal sizes; there are significantly more nestlings in
  the enlarged broods (similarly evident in one figure),
  even though the proportion surviving is lower in those
  enlarged broods (evident in another figure). A plot of
  the proportion surviving to fledge as a function of
  nestling mass suggests a nearly linear relationship. The
  filled circles are enlarged broods, the open circles
  reduced broods, and the squares are control broods in
  this figure.
      A figure for recapture and recruitment shows
  essentially identical results, in which a significantly
  higher proportion of fledglings survives to this later
  assessment from reduced broods than from enlarged
  broods, and for some years this proportion is also
  higher than the controls. There was one other
  interesting result: when the sex ratios of survivors
  were checked, the ratios were more male biased in larger
  broods than in smaller ones. Males are slightly larger
  than females as nestlings, and the authors argue that
  they are therefore able to take a disproportionate
  amount of food resource (through what is effectively
  dominance). In small broods everybody is getting enough;
  the difference isn't important to survival. In large
  broods survivorship is already lower, and the additional
  resources taken by males makes a difference in their
  survival.
      Overall, this study shows clear tradeoffs between
  number and various aspects of quality, most clearly in
  the size and survivorship of nestlings and fledglings.
  Reducing clutch size is clearly advantageous when
  measured against the reproductive effort committed by
  parents, as well as their survival to reproduce again.

Tradeoffs between offspring size and number

    Order will be a bit strange at this point. We need to go back and
consider the basic question of life histories, which is one form or
another of the question of when and how much to energy to allocate to
reproduction. However, we are in the midst of considering the variety
of tradeoffs important in life history strategies, and particularly
interested at this point in numbers of offspring. In addition to all
the other tradeoff patterns, some of which are related to allocation,
the choice between making a few large offspring or making numberous
smaller ones, using the same energy, and at the same time in the life
history etc., clearly has a direct impact on offspring numbers. Given
an allocation of energy, biomass, or carbon to reproduction,  how
should that energy be apportioned among offspring. This is viewed as
a tradeoff between the size and number of progeny. In plants, as in
animals, it seems as if offspring size, by altering the prospects for
juvenile survival (really establishment in plants) may be a critical
variable.  As such, offspring or seed size becomes critical to
individual fitness, and evolutionists argue that it should be
strongly optimized by selection, i.e. there should be little additive
genetic variation left. But in plants offspring disperse, and seed
size influences dispersal distance. As a result, there's the
potential for interesting compromises between seed size and seed
number, a condition more evident as compromise in plant life history
than in the cases of animals.
     First, some evidence of relative seed size constancy where (long
distance) dispersal seems uncritical. A plant stressed by competition
(or abiotic conditions) seems first to drastically reduce allocation 
(absolute amount of biomass at least) to reproduction and the number of 
seeds produced before additionally reducing seed or fruit size. The
relative plasticity in components of reproduction is indicated in wheat, 
when ratios of performance at high and low densities are compared:                                  ratio

          ears per plant                                 56
          total seeds per plant                         833
          grains per ear                               1.43
          mean grain weight                            1.04

    In counting offspring numbers, why is it that plants make so many
seeds? That question is generally answered by noting that there are
few places where a seed could land, successfully germinate, then
become established. With all those seeds, on average a plant just
replaces itself in the next generation. Those numerous seeds are
required to ensure that those few chances in time and places in space
where an offspring could be successful are not missed. Therefore,
they saturate the landscape with seeds. How is it that, if plants
must disperse adequately to saturate the landscape surrounding the
parent, that they can afford to vary even seed number in response to
stress?  Harper (1977) points out an observation of some importance,
since studied also by Stephenson (1984).  Most plants initiate many
more flowers (and seeds) than they develop, aborting the excess.
Thus the number aborted can be adjusted at the times of energetic
drain (flower development, seed maturation) with much less error than
inherent in a time lag process which would make these decisions at
the outset of reproduction (initiation) or alternatively building a
fixed number into the genotype. There is an obvious parallel in
animals in the Bruce, Lee and Whitten effects (about which more
later), which alter the reproduction of rodents in response to
density.
    Restrictions on seed size and limitations on allocation would
seem to 'tie down' plants into relatively tight, evolved patterns.
However, a study of goldenrods (Werner and Platt. 1976) found
variation in size, but almost absolute complinentarity between size
and number, i.e.

                         Number x Weight = K

In the figure, a range of goldenrod species normally found in
habitats ranging from prairies to woodlands, as well as populations
of some of these species occurring over a considerable part of that
habitat range, are included. The log-log plot of the number of
propagules per basal stem and the mean weight of the propagules
follows a straight line quite well. That is what the equation
portrays. The regression equation which fits that line is log N =
5.29 - 1.19 log W. The constant 1.19 does not differ significantly
from 1, which is also the way the basic equation is written.
    Both this and differences in allocation of biomass to
reproduction found by Abrahamson and Gadgil, which will appear in the
next lecture, can be simultaneously true only if (as is true) the
total plant size for goldenrod plants and species varies along
'disturbance' (or successional) gradients.  When we look as a plot of
number versus weight, we can see how close the fit is, with a slope
of -1. In general, old field populations produce the largest numbers
of smallest seeds (this environment corresponds to dry, open,
disturbed sites).  Prairie populations are intermediate in both size
and number, and oak woods populations produce smaller numbers of
larger seeds (achenes).  Comparisons within species were also made
between old field and prairie habitats.  In 4 of 5 comparisons old
field seeds are smaller, and in all 5 more seeds are produced by old
field plants.  In addition, although patterns in plumule size (the
dispersal accessory, or parachute which causes seeds to float on air
currents) may not be clear, if we look at 'wing-loading', i.e. the
number of grams supported per cm2 of plumule area, the same pattern
emerges, i.e. 4 out of 5 have lighter loadings in the old field:


Species                   Old field			Prairie
                    Wt.      #    loading         Wt.      #      loading
S. nemoralis       26.7    2300    7.319         104.      200      9.968
S. missourensis    17.6    4200    2.862          39.3    1100      4.485
S. speciosa        19.5    9100    5.345         146.3     500     13.193
S. canadensis      27.3   13000    3.385          58.3    1100      8.965
S. graminifolia    24.5   17700    3.92           10.6    7800      1.509

Why are the differences among species within a habitat so different?
The range in seed numbers in the old field is from 2300 to 17700,
and, except for S. graminifolia, which has smaller seeds on the
prairie, the range there is only from 200 to 1100. On the other hand,
weights of achenes in the old field differ by less than a factor of 2
from lightest to heaviest, while on the prairie the range is at least
4x (again discounting S. graminifolia). These differences are due to
the species being distributed along a moisture gradient. S.
nemoralis, the species found in 'dry, open, disturbed' sites in
comparisons of biomass allocation (you'll see these in the next lecture), 
occurs here in both old fields and prairies, but it occupies the driest 
sites in both places. The other species are arrayed along a gradient in 
soil moisture which, on the prairie, corresponds to walking down from the 
drier ridge tops into the moist valleys between.  Establishment in dry sites 
requires greater initial root growth for seedling survival, and S. nemoralis
produces the fewest and (almost) largest seeds among these species.
Seed size and number patterns for other species parallel this
moisture gradient.
    We can, in addition, do one more neat re-analysis of these data; this 
is a view which the authors didn't use. There are 2 parallel conditions 
intertwined in the tabled data. Successional status (diversity, intra- and 
interspecific competition) clearly influences size-number tradeoffs, but so 
does the stress caused by the moisture gradient. I suggest that we can, at 
least in a primitive way, separate those factors.  First, I computed the
allocation to seeds as the product of size and number for each
species in each habitat. A plot of this product against mean soil
moisture for the population indicates the effect of moisture stress.
If the slopes of these two lines were identical, we could dismiss
competitve stress as a significant factor.  However, the slopes
differ markedly. The slope is much lower on the prairie (2966 µg/%
moisture) than in the old field (21,117 µg/% moisture), indicating
the biotic stress on the prairie has already limited the potential
response to improving moisture conditions. The data for this plot is:


             Species                         Total N x W
                                     old field        prairie
             S. nemoralis             61,410           20,800
             S. missouriensis         73,920           43,230
             S. speciosa             177,450           73,150
             S. canadensis           354,900           64,130
             S. graminifolia         433,650           82,680

Other Examples of size-number tradeoffs
    If size-number tradeoffs are an evolved response to differences
in environmental stresses, and that variation is somehow predictable,
then it should be observed as a temporal response, as well as a
spatial one. Hutchinson (1978), in his text, considers two animal
examples, one spatial and one temporal. We'll use those examples to
survey reproductive adaptations by means of reproductive alterations
in size-number relationships.
    The first example is of egg size and egg number in European
alpine char. The char are found in a series of lakes in Sweden which
lie along a latitudinal gradient. The lakes at both extremes of the
gradient had sparse populations, but the mean size of adult fish in
these lakes was larger, and the broods produced consisted of larger numbers 
of smaller eggs (and a greater proportion of female biomass allocated to 
eggs) than found in central lakes. Egg sizes in the two groups of lakes did
not overlap. In lakes with low densities of adults, eggs ranged from 40.3
to 57.2 mg; in lakes with high densities eggs weighed from 58.0 to
66.4 mg. Very similar patterns were found lake whitefish in Alberta
(Bidgood, B.F. 1974). In a lake lacking predators and interspecific
competitors, the whitefish population has increased dramatically,
leading to increased intraspecific competition.  Egg volumes are
slightly more than 10% larger in that lake. Egg numbers and their
relationship to female body size are even more interesting.  Not only
do whitefish allocate more to reproduction in the lake with lower
density, the effect of body size on egg number is greater.
Intraspecific competition, again here, evidently reduces the
potential to respond to altered conditions (here female size rather
than soil moisture) with increased reproduction.
    Lastly, there is the example of seasonal alteration of size
number tradeoffs in copepods in Polish lakes. Calanoid copepods
produce resting, sexual eggs (ephippia) to overwinter, and
effectively recolonize an empty lake each spring. During the later
spring and summer reproduction is by parthenogenesis, and both
numbers and density increase, until, as winter approaches, a sexual
generation once more produces the resting eggs.  This pattern of
reproduction is called cyclical parthenogenesis.  For our purposes,
what's important is that density (and the intensity of intraspecific
competition) is low in spring and high in summer.  Hutchinson
suggests that food abundance (effectively) may also change
seasonally, with more food and less, hard-to-consume blue green algae
present in spring than in summer in these lakes.  The table below
shows how egg numbers and sizes change in one of the species
(Eudiaptomus graciloides) studied in 3 lakes.

Lake                  number            size               total
                 spring   summer   spring   summer    spring   summer
Biale             6.4      4.5      .83      .97       5.3      4.4
Rajgrodskie       9.5      6.8      .75      .90       7.1      6.1
Drestwo          11.0      6.0      .65     1.05       7.2      6.3

Mean              8.96     5.76     .74      .97       6.4      5.6


Bibliography
Bidgood, B.F. 1974. Reproductive potentials of two lake whitefish
  (Coregonus clupeaformis) populations. J. Fish. Res. Board Can.
  31:1631-1639.

Cody, M.L. 1966. A general theory of clutch size. Evolution 20:174-184.

Harper, J.L. 1977. Population Biology of Plants. Harper. N.Y., N.Y.

Hutchinson, G.E. 1978. An Introduction to Population Biology. Yale
   Univ. Press, New Haven.

Lack, D. 1947. The significance of clutch size. Ibis 89:302-52.

Lack, D. 1948. Natural selection and family size in the starling. 
   Evolution 2:95-110.

Werner, P.A. and W.J. Platt. 1976. Ecological relationships of co-
  occurring goldenrods (Solidago: Compositae. Amer.Natur. 110:959-
  971.